
AI Agents
This project involved designing and implementing autonomous intelligent agents, progressing from simple reactive models to complex deliberative architectures. It explored symbolic, behavioral, and hybrid paradigms of artificial intelligence, integrating state machines, behavior arbitration, search algorithms, and Markov Decision Processes to enable agents to plan, adapt, and optimize their actions in dynamic environments. The practical evolution demonstrates how combining different AI paradigms results in robust agents capable of immediate reactions and strategic long-term planning.

Image Processing
This project explores fundamental concepts in multimedia information processing, including image analysis, compression, and error control coding. It applies techniques such as color space conversion, histogram analysis, and bit-plane decomposition to understand image properties and uses quality metrics like SNR and PSNR to evaluate compression results. The work also simulates data transmission over noisy channels, implementing and comparing repetition and Hamming codes to demonstrate their effectiveness in improving image reliability.

Lego Brick Recognition
This project presents a comprehensive image processing pipeline in Python and OpenCV for counting and classifying rectangular Lego pieces placed on a blue background. Starting with color histogram analysis, the algorithm applies background removal, image binarization, and morphological operations to isolate and separate individual pieces. By extracting contour properties, area, and aspect ratios, the system robustly classifies standard Lego types, achieving reliable results even with noise, overlapping, or non-rectangular objects.

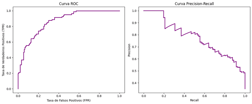
Pima Indians Dataset
This project focuses on analyzing the Pima Indians Diabetes Dataset using machine learning techniques. It involves data preprocessing, exploratory analysis, and the implementation of classification algorithms such as Naive Bayes and Logistic Regression to predict diabetes onset based on diagnostic measurements. The work emphasizes model evaluation through metrics like accuracy, precision, recall, and ROC curves, highlighting the importance of feature selection and data balancing in improving predictive performance.

IMDB Sentiment Analysis
This project involves sentiment analysis of IMDb movie reviews using natural language processing and machine learning techniques. It includes data cleaning, tokenization, and vectorization of text data, followed by the application of classification algorithms such as Logistic Regression to categorize reviews as positive or negative. The project emphasizes model evaluation through accuracy, precision, recall, and F1-score metrics, demonstrating the effectiveness of different preprocessing and feature extraction methods in improving sentiment classification performance.